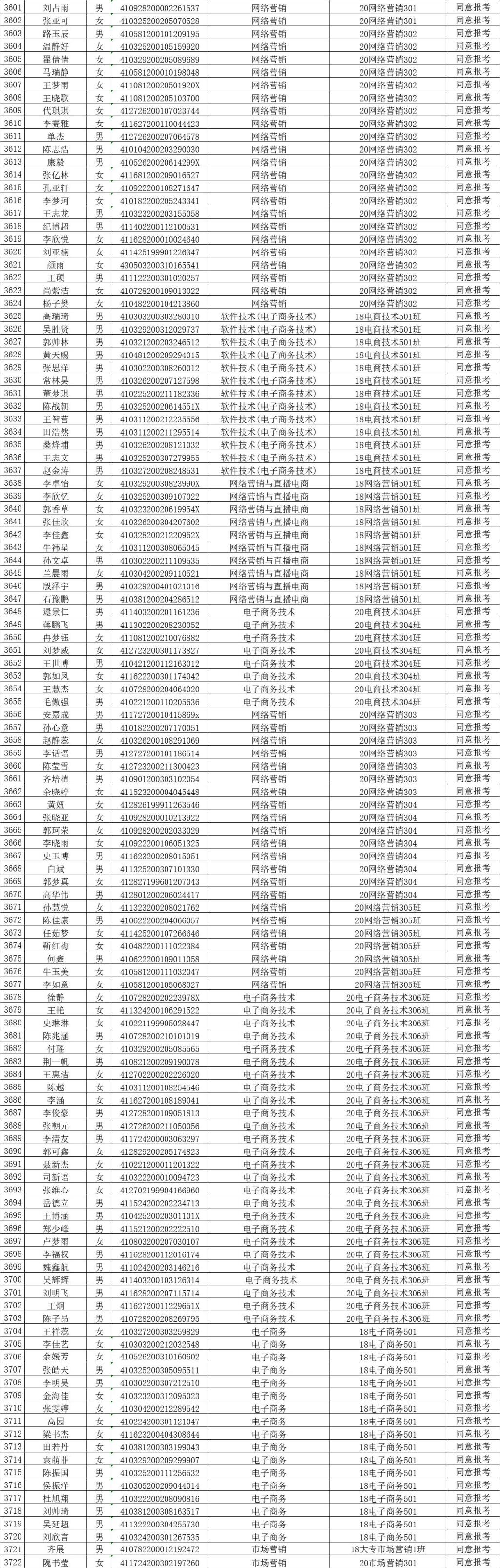
根据河南省教育考试院关于2023年普通高校专科应届毕业生进入本科阶段学习相关通知精神,经学生报名,二级学院、学生处、教务处进行资格审核,现将洛阳职业技术学院2023年非艺术类专升本报名资格审核预通过学生信息进行公示,详见下表。
公示期:2022年11月6日-11月8日。如有异议,可拨打监督电话或发电子邮件至指定邮箱。监督电话:0379-63189387,邮箱:zsk@lypt.edu.cn。




















根据河南省教育考试院关于2023年普通高校专科应届毕业生进入本科阶段学习相关通知精神,经学生报名,二级学院、学生处、教务处进行资格审核,现将洛阳职业技术学院2023年非艺术类专升本报名资格审核预通过学生信息进行公示,详见下表。
公示期:2022年11月6日-11月8日。如有异议,可拨打监督电话或发电子邮件至指定邮箱。监督电话:0379-63189387,邮箱:zsk@lypt.edu.cn。




















